破碎是当代飞速发展的经济社会必不可少的一个重要的工作环节。在各种矿石的加工工序中,破碎机的破碎作业熬需要消耗巨大的能量,而且还是个低效率的事情。在破碎石料中由于摩擦、发热、振动等原因,使大量的能量消耗掉了,所以导致现在很多人在设计如何更准确的、更节能的破碎机。
破碎机原理设计
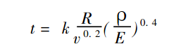
在设计冲击式破碎机时, 当确定了冲击速度后,如何确定破碎时间就成为一个重要的课题。破碎时间指的是从物料与锤头开始接触到物料发生破碎的持续时间。 通过试验对破碎时间进行了测定, 认为破碎时间小于02ms。通过理论分析得出了如下的破碎时间计算式:

式中,t为破碎时间,s,r为岩石半径,m;v为锤头冲击速度,m/s;σ为岩石密度,kg/m3;E为岩石弹性磨量,pa;k为破碎时间系数,对于冲击式细碎锤式破碎机,k=2.06,对于中粗碎锤式破碎机,k=270。
破碎机材料选择
在对破碎机衬扳的成分设计及选择
(1)是否能够满足破碎机衬板所需的功能要求。对于一个破碎机衬板结构件,必须考虑它在承载工作中所引起的各种力学性能要求,如强度、冲击韧性、抗拉强度、屈思强度、疲劳强度、耐磨性和抗腐蚀性等。这些力学性能是破碎帆衬板化学成分设计的关镀。若能满足各种力学性能要求,则所设计的合金成分就是合理可取的。
(2)是否满足制造工艺性能要求。对已满足所需功能要求的材树,还需进一步考虑材料的工艺性能,如加工性能、是否容易成形、内在质量的优劣、所需加工费用是否经济合理等。
(3)在己满足破碎机衬板零件功能要求和制造工艺性能要求的情况下,则要考虑经济指标,以使衬板的生产成本所有降低,具有一定的经济和社会效益。
(4)实际生产试制确定合理的化学成分。
上一篇: 未来破碎机的设计思路
2018-11-01
2018-04-24